Sub Chapter 14.4
1. Tujuan
- Untuk menyelesaikan tugas matakuliah elektronika yang diberikan oleh Bapak Dr. Darwison,M.T.
- Untuk memahami materi tentang op amp dan rangkaiannya.
2. Alat dan Bahan
a. Alat
- Voltmeter dc
Berfungsi untuk mengukur besar tegangan pada rangkaian
- Ampermeter
Berfungsi untuk mengukur kuat arus pada rangkaian
- Baterai 12V
Berfungsi sebagai sumber tegangan pada rangkaian
- Ground
Sebagai titik kembalinya arus/sinyal listrik
- Osiloskop
b. Bahan
- Op Amp
Spesifikasi:
- Resistor
Spesifikasi:
- Kapasitor
Spesifikasi:
3. Dasar Teori
14.4 Penerapan Sirkuit Op-Amp
Op-amp dapat dihubungkan di sejumlah besar sirkuit untuk menyediakan
berbagai pengoperasian karakteristik. Di bagian ini, kami membahas beberapa
rangkaian yang paling umum koneksi.
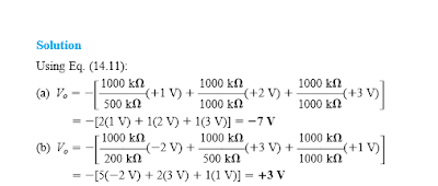
Example
4. Rangkaian
1. Inverting Amplifier
2. Non Inverting Amplifier
3. Summing Amplifier
4. Integrator
5. Differentiator
5. Video
- Video 2 : Simulasi rangkaian non inverting amplifier
- Video 3 : Simulasi rangkaian summing amplifier
- Video 4 : Simulasi rangkaian integrator
- Video 5 : Simulasi Rangkaian Differentiator
6. Link Download
Download Materi klik disini
Download HTML klik disini
Download video 1 klik disini
Download video 2 klik disini
Download video 3 klik disini
Download video 4 klik disini
Download video 5 klik disini
Download rangkaian inverting klik disini
Download rangkaian non inverting klik disini
Download rangkaian summing amplifier klik disini
Download rangkaian integrator klik disini
Download rangkaian differentiator klik disini
Download Datasheet klik disini












Tidak ada komentar:
Posting Komentar